5.1. 引导问题:对于早八点的课程,学生何时能到教室?#
Example 5.1
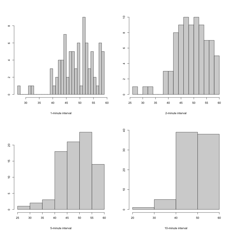
我们想要研究:上早八课程的学生一般什么时候会到教室。记学生到达教室的时刻为 \(X\) 。 \(X\) 表示 \(7\) 点后的分钟数,显然是一个随机变量。共采集了 \(83\) 名学生的打卡时间。我们分别按 \(1\) 分钟间隔、 \(2\) 分钟间隔、 \(5\) 分钟间隔和 \(10\) 分钟间隔绘制了直方图,如图 Fig. 5.1。学生大部分在 \(40\) 分到 \(55\) 分之间到达教室,一小部分学生会提前 \(20\) 分钟到达教室,还有一部分学生倾向于临近 \(8\) 点才到。
Fig. 5.1 学生到达教室的直方图#
Hint
我们发现,时间是连续的,且 \(X\) 的取值可以充满 \((0,60)\) 这个区间。于是, \(X\) 就是一个连续型随机变量。当我们不断细化间隔的划分,在同一时刻到达教室的学生不会超过 \(1\) 人。于是,利用概率分布列 \(P(X=x)\) 来刻画 \(X\) 是不恰当的。所以,我们需要提出一个新的概念——概率密度函数。